»¯Ñ§Ãû³Æ£º¾ÛNÒ»ÒÒõ£ÆÏÌÑÌǰ·
·Ö×Óʽ£º
·Ö×ÓÁ¿£º203¡¤n
CASºÅÂ룺1398-61-4
º£¹ØÉÌÆ·±àÂ룺29329990.99
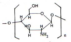
»¯Ñ§½á¹¹£º

ÐÔ×´£º
±¾Æ·Îª×¼°×É«,ÎÞ¶¨ÐΣ¬°ë͸Ã÷¹ÌÌ壬ÎÞº¦£¬ÎÞ³ôÎÞÎÛȾ£¬ÎÞÇÖÊ´£¬²»¿Éȼ£¬²»±¬£¬ÄÜÈÜÓÚº¬8%ÂÈ»¯ï®µÄ¶þ¼×»ùÒÒõ£°·»òŨËᣬ²»ÈÜÓÚË®¡¢Ï¡Ëá¡¢¼î¡¢ÒÒ´¼»òÆäËüÓлúÈܼÁ¡£ÇкÏWTO(ÌìÏÂÉÌÒµ×éÖ¯) µÄ³ö¿Ú±ê×¼¡£±¾²úÆ·ÊÇÌáȡϺ¡¢Ð·¿ÇµÄÏßÐθ߷Ö×Ó¶àÌÇ¡£¿É×÷ʳÎïÌí¼Ó¼Á¡¢Ò½Ò©ÖÊÁÏ¡£
ÓÃ;£º
¼×¿ÇËØ£¬Ò»ÖÖÐÂÐÍÉú»¯Ò©Æ·£¬¾ßÓнµÑªÖ¬£¬½µÑªÑ¹£¬½µÑªÌǵÄÌØÊâÉúÎ﹦Ч¡£ÔÚ¹¤ÒµÉÏ¿É×ö·Ä֯Ʒ·Àùɱ¾ú³ý³ô¼Á¡£Ò²¿ÉÓ¦ÓÃÓÚȾÁÏ¡¢Ö½ÕźÍË®´¦Öóͷ£µÈ¡£ÔÚũҵÉÏ¿É×öɱ³æ¼Á¡¢Ö²Î²¡¶¾¼Á¡£ÓæÒµÉÏ×öÑøÓãËÇÁÏ¡£»¯×±Æ·ÃÀÈݼÁ¡¢Ã«·¢±£»¤¡¢±£Êª¼ÁµÈ¡£Ò½ÁÆÓÃÆ·ÉÏ¿É×öÒþÐÎÑÛ¾µ¡¢È˹¤Æ¤·ô¡¢·ìºÏÏß¡¢È˹¤Í¸ÎöĤºÍÈ˹¤Ñª¹ÜµÈ¡£
°ü×°£º
Ö½°åͰ(36cm x 36cm)ÄÚ³ÄÁ½²ã¾ÛÒÒÏ©±¡Ä¤ËÜÁÏ´ü£¬»òƾ֤¿Í»§ÒªÇó¡£
Íâ¹Û³ß´ç£º 36cm x 36cm¾»ÖØ£º10.0kgs Ã«ÖØ£º11.8kgs ÿ20³ß¹ñ¿É×°5.4¶Ö¡£
´¢ÔË£ºÖü±£´æ¸ÉÔï¡¢Çå½à,ºÍÒõÁ¹µÄµØ·½¡£ÔËÊäʱÇá×°Çáж£¬²»µÃÓëÓк¦¡¢Óж¾ºÍÒ×ÎÛȾÎïÆ·»ìÏý×°ÔË¡£ÑϽûÁÜÓê¡£
ÖÊÁ¿Ö¸±ê£º(²ÎÕÕUSP35)
ÆÊÎöÄÚÈÝ | ÖÊÁ¿±ê×¼-¹¤Òµ¼¶ | ÖÊÁ¿±ê×¼-ʳÎï¼¶ | ÖÊÁ¿±ê×¼-Ò½Ò©¼¶ |
Íâ¹Û | ×¼°×É«ÖÁ΢»ÆÉ«Ë¿×´Îï | ×¼°×É«ÖÁ΢»ÆÉ«Ë¿×´Îï | ×¼°×É«ÖÁ΢»ÆÉ«Ë¿×´Îï |
ÏûÈÚ¶È | ²»ÈÜÓÚË®£¬Ï©ËáºÍÓлúÈܼÁ | ²»ÈÜÓÚË®£¬Ï©ËáºÍÓлúÈܼÁ | ²»ÈÜÓÚË®£¬Ï©ËáºÍÓлúÈܼÁ |
ÂѰ×ÖÊ | ¼ì²»³ö | ¼ì²»³ö | ¼ì²»³ö |
Ö¬·¾ | ¼ì²»³ö | ¼ì²»³ö | ¼ì²»³ö |
Ë®·Ý | ¡Ü12% | ¡Ü10% | ¡Ü10% |
»Ò·Ý | ¡Ü8% | ¡Ü2% | ¡Ü1% |
ÌúÑÎ | ¡Ü20ppm | ¡Ü20ppm | ¡Ü20ppm |
ÖØ½ðÊô | ¡Ü10ppm | ¡Ü10ppm | ¡Ü10ppm |
ÉéÑÎ | ¡Ü0.5ppm | ¡Ü0.5ppm | ¡Ü0.5ppm |
΢ÉúÎï×ÜÊý | ¡Ü10000CFU/g | ¡Ü1000CFU/g | ¡Ü1000CFU/g |
½Íĸ¡¢Ã¹¾ú | ¡Ü1000CFU/g | ¡Ü100CFU/g | ¡Ü100CFU/g |
´ó³¦¸Ë¾ú | ²»µÃ¼ì³ö | ²»µÃ¼ì³ö | ²»µÃ¼ì³ö |
ɳÃÅÊϾú | ²»µÃ¼ì³ö | ²»µÃ¼ì³ö | ²»µÃ¼ì³ö |